发表时间:2022-03-25来源:网络
C语言零基础入门—8.习题解析
我们这节课讲解上一节布置的五道练习题。请利用之前所讲的知识打印出一个五角星,具体图形如下


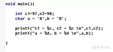
:请大家说出以下程序执行的结果,并说明原因。


:请编程序将“China”进行加密
密码规律是:
用原来的字母后面第4个字母代替原来的字母。
例如:字母“A”后面第4个字母是“E”,用“E”代替“A”。因 此,“China”应译为“Glmre”。
要求:
请编一程序,用赋初值的方法使c1,c2,c3,c4,c5 这5个变量的值分别为'C','h','i','n','a',
经过运算,使cl,c2,c3,c4,c5分别变为'G','l','m','r','e'。
分别用printf函数输出改变前,用putchar函数输出改变后的这5个字符。
结果如下图所示:


这是我们最后一次分析存储过程了,以后在遇到这种问题就当作大家都会了

公众号:小小猿笔记
皓盘云建最新版下载v9.0 安卓版
53.38MB |商务办公
ris云客移动销售系统最新版下载v1.1.25 安卓手机版
42.71M |商务办公
粤语翻译帮app下载v1.1.1 安卓版
60.01MB |生活服务
人生笔记app官方版下载v1.19.4 安卓版
125.88MB |系统工具
萝卜笔记app下载v1.1.6 安卓版
46.29MB |生活服务
贯联商户端app下载v6.1.8 安卓版
12.54MB |商务办公
jotmo笔记app下载v2.30.0 安卓版
50.06MB |系统工具
鑫钜出行共享汽车app下载v1.5.2
44.7M |生活服务